![]() |
| Akışkan denilince aklımıza ilk gelen SU'dur |
1-Akışkanlar mekaniğine genel bir bakış
l2-Akışkanların Sınıflandırılması
l3-Newton tipi ve Newton tipi olmayan akışkan ayrımı
l4-İdeal akışkan
l5-Navier-Stokes denlemi (N-S)
l6-Navier-Stokes (sıkıştırılamaz Newton tipi(viskozite sabit) akışkanlar için incelenmesi)
l7-N-S yaklaşımları
![]() |
(Claude Louis Marie Henri Navier) (D:1785Dijon –Ö:1836, Paris) Fransız mühendis ve fizikçi |
![]() |
(George Gabriel Stokes) (D:1819 –Ö:1903) İrlandalı matematikçi ve fizikçi |
Navier-Stokes denklemleri adı Navier ve Stokes'un adına akışkanlar mekaniğine katkılarından dolayı ithafen verilmiştir.
1-Akışkanlar mekaniğine genel bir bakış,
1-Akışkan nedir? Akışkanların fiziksel özellikleri
l2-Akışkanların sınıflandırılması
l3-Süreklilik denklemi nedir?
l4-Günlük Yaşantıda Akışkanların Yerleri.
l
5-Akışkanlar Mekaniği Hangi Meslek Dallarında kullanılır.
Akışkan nedir?
Olanaklı en küçük kesme gerilmesi etkisinde dahi,sürekli olarak şekil değiştirebilen maddeye akışkan denir.
Akışkanların fiziksel özellikleri Nelerdir?
lBirim Hacim Ağırlığı: N/m³
Bir cismin birim hacmindeki (1cm,1m vb) bir parçasının ağırlığına o cismin birim hacimdeki ağırlığı denir
lYoğunluk : kg/m³
Homojen bir yapıya sahip maddenin birim hacminin kütlesi
lSıkışabilme
Maddelerin sıkışabilme özelliği tanecikler arasındaki boşluk miktarına bağlıdır.
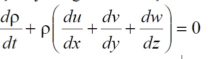
Süreklilik denklemi nedir?
Bir akışkanda kütle ve hacmin zamana ve konuma göre değişimiyle ilgilidir Akışkanda alınan bir kontrol hacminin genel süreklilik denklemi
![]() |
yoğunluk |
Günlük Yaşantıda Akışkanların Yerleri
lMeteorolojik (hava) olayları (yağmur, rüzgar, yangın, fırtına, sel),
lÇevreye zararlı olaylar (hava kirliliği, kirletici maddelerin yayılması),
lIsıtma, soğutma ve havanın şartlandırılması,
lAraçların motorlarındaki içten yanma olayı,
lIsı değiştiriciler, kimyasal reaktörler ve fırınlardaki kompleks akımlar,
linsan vücudundaki kan akışı, soluk alıp verme gibi olaylar.
Akışkanlar Mekaniği Hangi
Meslek Dallarında kullanılır
Meslek Dallarında kullanılır
lMimarlıkta
lİnşaat Mühendisliğide
lHavacılık ve Uzay Mühendisliğide
lTıpta
lSanayi ve Endüstride
lMeteorolojide
lAraç Tasarımıda
![]() |
Hava ve uzay taşıtları |
![]() |
Otomobiller |
![]() |
![]() |
İnsan Vücudu |
N-S DENKLEMİ
Klasik fizikte hareket denklemi nasıl Hamiltonyenle ifade ediliyorsa Akışkanlar Mekaniğinde Navier-Stokes Denklemi akışların hareket denklemidir diyebiliriz
•Bu denklem: daimi olmayan, doğrusal olmayan, ikinci mertebeden bir kısmi diferansiyel denklemdir.
•Ne yazık ki çok basit akış alanları dışında denklemin çözümleri elde edilemez .
‘’Akışkan’’ demekle neyi kastediyoruz?
lFiziksel: sıvılar veya gazlar
Matematiksel:
![]() |
Bir skaler alan p (Akışkanın basıncını gösterir) |
Newton tipi sıkıştırılamaz akışkanlar için Süreklilik ve Navier Stokes Denklemleri
Süreklilik ve Navier-Stokes denklemlerinin kullanışlı olduğu iki tür uygulama alanı vardır.
lBilinen bir hız alanı için basınç alanının hesaplanması
lBilinen geometri ve sınır şartları için hem hız hem de basınç
alanlarının hesaplanması
•Öncelikle belirtelim ki Navier-Stokes denkleminin kendisi tam çözüm değildir, tersine kendine özel yaklaştırımları içeren bir akış modelidir. Bununla birlikte mükemmel bir modeldir ve modern akışkanlar mekaniğinin temelini oluşturur.
•Bir yaklaşık çözüm, çözüme başlamadan önce bile Navier-Stokes denkleminin akışın bir bölgesinde basitleştirildiği çözüm olarak tanımlanır.
Navier-Stokes denklemi için yaklaştırımları
lViskoz olmayan akış bölgeleri için yaklaştırım
lSürünme akışı yaklaştırımı
lSınır tabaka yaklaştırımı
UĞUR KORKMAZ / FİZİK
Kaynaklar:
lAkışkanlar Mekaniği temelleri ve uygulamaları
Yunus A. ÇENGEL&John M. CIMBALA
lAkışkanlar Mekaniği
Doç. Dr. Muhittin SOĞUKOĞLU
lFundamental Mechanics of Fluids I.G. Currie
lAkışkanlar Mekaniği Prof. Dr. Bekir Zühtü UYSAL
lAkışkanlar Mekaniğine Giriş Cahit ÇIRAY ODTÜ yayınları



























Hiç yorum yok:
Yorum Gönder